咨询热线

400-007-6266

010-86223221

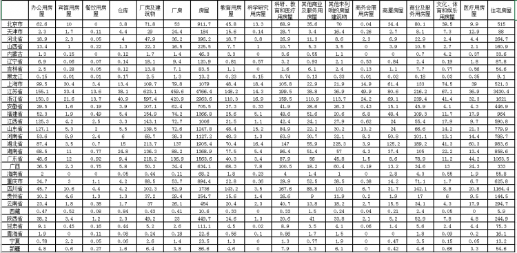
2021年上半年我国各省市建筑业企业房屋竣工价值情况

单位:亿元

数据来源:国家统计局

          更多深度内容,请查阅观研报告网:
        《 2021年中国建筑工程用机械制造行业分析报告-产业深度研究与发展前景评估

        行业分析报告是决策者了解行业信息、掌握行业现状、判断行业趋势的重要参考依据。随着国内外经济形势调整,未来我国各行业的发展都将进入新阶段,决策和判断也需要更加谨慎。在信息时代中谁掌握更多的行业信息,谁将在未来竞争和发展中处于更有利的位置。

         报告订购咨询请联系:
        电话:400-007-6266   010-86223221
        客服微信号:guanyankf
        客服QQ:1174916573
        Email:sales@chinabaogao.com

更多好文每日分享,欢迎关注公众号


更多好文每日分享,欢迎关注公众号

【版权提示】观研报告网倡导尊重与保护知识产权。未经许可,任何人不得复制、转载、或以其他方式使用本网站的内容。如发现本站文章存在版权问题,烦请提供版权疑问、身份证明、版权证明、联系方式等发邮件至kf@chinabaogao.com,我们将及时沟通与处理。

2025年1-2月我国PVC地板出口量为69.4万吨 同比下降9.5% 其中美国出口量占比29.4%

2025年1-2月我国PVC地板出口量为69.4万吨 同比下降9.5% 其中美国出口量占比29.4%

根据最新的海关统计数据,2025年1月份我国PVC地板出口量为45.8万吨,与去年同期基本持平;2月份出口量为23.5万吨,环比减少48.6%,同比下降23.5%。

2025年04月07日
2024年1-11月我国PVC地板出口量426.8万吨 同比增长2.6% 其中向美国出口占比约30.9%

2024年1-11月我国PVC地板出口量426.8万吨 同比增长2.6% 其中向美国出口占比约30.9%

根据最新海关统计数据,2024年11月份我国PVC地板出口量为36.4万吨,环比减少7.4%,同比下降13.0%;1-11月份我国PVC地板累计出口426.8万吨,与去年同期416.0万吨相比增加2.6%。

2025年01月14日
2024年1-10月我国PVC地板出口量390.4万吨 同比增长4.4% 其中向美国出口占比约31.1%

2024年1-10月我国PVC地板出口量390.4万吨 同比增长4.4% 其中向美国出口占比约31.1%

根据最新海关统计数据,2024年10月份我国PVC地板出口量为39.4万吨,环比增加9.8%,同比增长2.5%。1-10月份我国PVC地板累计出口390.4万吨,与去年同期374.1万吨相比增加4.4%。

2024年12月11日
2024年1-9月我国PVC地板出口量351.1万吨 同比增长4.6% 其中向美国出口占比约31.5%

2024年1-9月我国PVC地板出口量351.1万吨 同比增长4.6% 其中向美国出口占比约31.5%

根据最新海关统计数据,2024年9月份我国PVC地板出口量为35.8万吨,环比减少10.9%,同比下降16.1;1-9月份我国PVC地板累计出口351.1万吨,与去年同期335.7万吨相比增加4.6%。

2024年11月01日
2024年1-8月我国PVC地板出口量同比增长7.6% 其中向美国出口占比约32.1%

2024年1-8月我国PVC地板出口量同比增长7.6% 其中向美国出口占比约32.1%

根据最新海关统计数据,2024年8月份我国PVC地板出口量为40.2万吨,环比增加1.4%,与去年8月份基本持平。1-8月份我国PVC地板累计出口315.2万吨,与去年同期293.0万吨相比增加7.6%。

2024年10月15日
2024年1-8月我国水泥产量同比下降10.7% 其中江苏、广东两省排名前二

2024年1-8月我国水泥产量同比下降10.7% 其中江苏、广东两省排名前二

数据显示,2024年8月份我国水泥产量当期值约为15762.9万吨,同比下降11.9%,但较2023年8月份的17824.7万吨产量有所下降。累计值来看,2024年1-8月我国水泥产量累计约为115906.7万吨,较上一年同比下降10.7%。整体来看,近三年8月同期我国水泥产量当期值和累计值呈下降走势。

2024年10月11日
2024年8月我国100城二手住宅市场均价同比下降7.07% 二线城市市场均价同比下降5.43%

2024年8月我国100城二手住宅市场均价同比下降7.07% 二线城市市场均价同比下降5.43%

数据显示,2024年8月,各等级城市二手房市场均价继续下行,一二线环比跌幅收窄、三四线仍在扩大;同比跌幅仅一线有所收窄。其中,一线市场均价环比下降0.02%,同比跌幅收窄至5.43%;二线环比下跌0.81%,同比下跌8.87%;三四线同环比分别下跌5.11%、0.51%。

2024年09月12日
2023年我国主要智慧园区厂商中以华为市场份额占比最大 占比为34.1%

2023年我国主要智慧园区厂商中以华为市场份额占比最大 占比为34.1%

数据显示,2023年我国主要智慧园区厂商是华为、新华三、海康威视、烽火、亚信科技等,其市场份额分别为34.1%、17.2%、13.8%、1.6%、0.2%。其中,华为市场份额占比最大,其次是新华三和海康威视。

2024年09月12日
微信客服
微信客服二维码
微信扫码咨询客服
QQ客服
电话客服

咨询热线

400-007-6266
010-86223221
返回顶部
Baidu
map